BIOGRAFIA Y APORTACIONES JAMES CLERK MAXWELL

 

James Clerk Maxwell

James Clerk Maxwell fue una de las mentes más brillantes de la física. Lamentablemente, su trabajo es menos famoso que el de los otros físicos posiblemente porque su mayor aportación: las Ecuaciones de Maxwell, son muy difíciles de entender.

¿Quién fue James Clerk Maxwell?

Fue un físico teórico y matemático escocés famoso por reunir una gran cantidad de ecuaciones, experimentos y observaciones relacionadas con la electricidad y el magnetismo en una teoría electromagnética consistente.

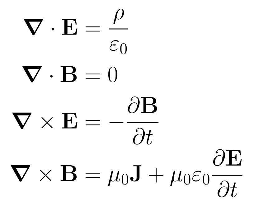
Produjo un conjunto de ecuaciones, conocidas como «Ecuaciones de Maxwell» que explican las propiedades de los campos magnéticos y eléctricos y ayudan a mostrar que la luz es una onda electromagnética.

Vida temprana

James Clerk Maxwell nació en el seno de una familia adinerada en Edimburgo, Escocia, Reino Unido, el 13 de junio de 1831. Su padre era abogado y su madre murió cuando él tenía sólo ocho años.

Asistió a la escuela secundaria en Edimburgo – Edinburgh Academy donde publicó su primer trabajo académico, «Curvas ovaladas» con sólo 14 años, a dicha edad también había memorizado la Biblia. Maxwell era un protestante evangélico, que creía que su religión era un asunto privado. Al igual que Isaac Newton, no veía desacuerdos entre su ciencia y su religión.

¿Por qué es importante James Clerk Maxwell?

Por su teoría del electromagnetismo, que mostró que la luz era radiación electromagnética. Se considera que su teoría preparó el camino tanto para la mecánica cuántica como para la teoría de la relatividad especial de Einstein.


¿Dónde estudió James Clerk Maxwell?

Se educó en la Universidad de Edimburgo de 1846 a 1850 y en la Universidad de Cambridge de 1850 a 1854, donde estudió matemáticas. En Cambridge obtuvo los honores de segundo Wrangler y primer Smith's Prizeman.


¿Cuáles son las relaciones de Maxwell?

 Son el conjunto de ecuaciones termodinámicas que se dedujeron a partir de una simetría de derivadas secundarias y de potenciales termodinámicos.


Electromagnetismo

El trabajo de Maxwell en electromagnetismo se inspiró en su análisis del trabajo de personas como André-Marie Ampère, Hans Christian Oersted y, especialmente, Michael Faraday.

Maxwell usó las matemáticas para investigar las causas fundamentales del comportamiento eléctrico y magnético, produciendo, para los físicos profesionales, algunas de las ecuaciones más hermosas que usan: las ecuaciones de Maxwell.

Estas ecuaciones generalmente no se enseñan hasta años posteriores en física universitaria o cursos de matemática aplicada ya que son temás muy avanzados.


Velocidad de la luz

Maxwell demostró que debe haber ondas electromagnéticas cuya velocidad calculó que sería idéntica a la velocidad de la luz, que la gente ya conocía de los experimentos. Maxwell se dio cuenta de que la luz debe ser una onda electromagnética.

También señaló que los rayos infrarrojos y otros rayos electromagnéticos, aún no descubiertos, viajarían a la velocidad de la luz. Ahora sabemos que, de hecho, hay otros rayos, como ondas de radio, microondas, rayos UV y rayos X, y todos viajan a la velocidad de la luz.

La teoría cinética de los gases y la física estadística

En su teoría cinética de los gases, Maxwell estableció que la temperatura de un gas depende enteramente de la velocidad de sus átomos o moléculas individuales.

Se dio cuenta de que las partículas de gas no se moverían todas a la misma velocidad, porque las colisiones entre ellas acelerarían algunas y reducirían otras. Maxwell mostró que las partículas de un gas tendrían una distribución de diferentes velocidades y cuál sería la distribución.

A partir de este trabajo, demostró que la Segunda Ley de la Termodinámica, la ley de que el calor siempre fluye desde objetos de temperatura más alta a objetos de temperatura más baja, es una ley estadística, basada en el comportamiento de un gran número de partículas. 

Aunque algunas partículas individuales pueden desobedecer la ley, la mayoría obedece la ley. Incluso es posible que la ley se rompa a mayor escala, pero la probabilidad de que esto ocurra es muy pequeña.

Física estadística

 Utilizando la distribución de los comportamientos de las moléculas de gas, Maxwell desarrolló la física estadística. Sus métodos, y los desarrollados por Willard Gibbs, fueron las piedras angulares de la física cuántica del siglo siguiente, donde ya no podíamos estar absolutamente seguros sobre el comportamiento de las partículas pequeñas: solo podíamos ver la probabilidad de que se comportaran de una manera particular.

Maxwell ayudó a alejar la física de la visión mecánica y clásica del mundo de Newton hacia la visión cuántica y probabilística en la que confiamos hoy, una visión con la que Albert Einstein nunca estuvo contento, afirmando que «Dios no juega a los dados con el Universo».

Fallecimiento

 Maxwell murió en Cambridge de cáncer abdominal el 5 de noviembre de 1879 a la edad de 48 años. Su madre había muerto a la misma edad del mismo tipo de cáncer. El ministro que lo visitó regularmente en sus últimas semanas se asombró de su lucidez y del inmenso poder y alcance de su memoria.

Actualmente Maxwell está enterrado en Parton Kirk, cerca del Castillo Douglas en Galloway, cerca de donde creció.

Frases

  •  “Podemos encontrar ejemplos de las más elevadas doctrinas de la ciencia en los juegos y la gimnasia, en los viajes por tierra y por agua, en las tormentas del cielo y del mar, y dondequiera que haya materia en movimiento”
  • “La ciencia del color debe ser considerada, en esencia, como una ciencia de la mente”
  • “Los gases se distinguen de otras formas de la materia, no sólo por su poder de expansión indefinida así como por llenar cualquier recipiente, por grande que sea, y porque el calor tiene un gran efecto en su dilatación, sino por la uniformidad y la simplicidad de las leyes que regulan estos cambios”
  • “El color que percibimos es una función de tres variables independientes, por lo menos son tres las que yo creo suficientes, pero el tiempo dirá si prosperan”

Referencias y Videos

·        https://byjus.com/physics/maxwells-relations/

·        https://www.famousscientists.org/james-clerk-maxwell/

·        https://es.wikipedia.org/wiki/James_Clerk_Maxwell

·        https://www.britannica.com/biography/James-Clerk-Maxwell











Comentarios

Entradas más populares de este blog

PATRON DE RADIACION Y PARAMETROS FUNDAMENTALES DE UNA ANTENA

TEMA 28/07/21

EXPOSICIONES DE CLASE